EDS Maps of Entire Petrographic Sections via Montage Large Area Mapping in APEX 2.0 and Alignment Considerations

Introduction

Scanning Electron Microscope (SEM) imaging and Energy Dispersive Spectroscopy (EDS) mapping of geological and extraterrestrial materials usually require analyzing at relatively high magnifications. These high magnifications are necessary to investigate microscale features and a representative area, to minimize the heterogeneity induced by grain size and phase distributions across the entire sample. Montage Large Area Mapping, a major feature in APEX™ 2.0, allows precise large-area imaging and EDS, as well as Electron Backscatter Diffraction (EBSD) mapping by using stage movements to collect individual high magnification/resolution images and maps through a grid pattern over a large sample surface and stitching them into montages.

Experiment

A piece of 2.5 x 1.5 cm Hornblende Basalt Porphyry section was chosen to illustrate this feature. This sample appears to be of porphyritic texture with phenocrysts that are set in a mass of plagioclase, orthopyroxene, Fe-Ti oxides, and apatite. Data was collected using a field emission SEM equipped with an EDAX Octane Elite Super Silicon Drift Detector. EDS maps were acquired in a 24 x 27 grid over the entire section and automatically aligned and stitched together into a 6144 x 5619-pixel montage of maps using the APEX 2.0 Montage Large Area Mapping feature (Figure 1).

Montage EDS maps of an entire 2.5 x 1.5 cm Hornblende Basalt Porphyry section acquired using APEX 2.0 software.
Figure 1. Montage EDS maps of an entire 2.5 x 1.5 cm Hornblende Basalt Porphyry section acquired using APEX 2.0 software.

 

The Montage Large Area Mapping feature uses a setup wizard with step-by-step instructions (Figure 2). It guides the user to move the stage to the starting position to collect the top-left image, and then to the ending position to collect the bottom-right image. When the images are collected, the number of fields are automatically calculated, and a graphic representation of the montage is shown in a grid layout. The user can move the position marks at the top left and bottom right of the images to adjust the starting and ending positions, and the number of fields are recalculated accordingly. The Preview Image function goes through the montage and collects an image of each field. This is useful for checking the alignment before the mapping. Matrix size, dwell time, and frames can be adjusted to complete the setup wizard. The estimated time duration and required disk space are updated accordingly.

Setup Wizard for Montage Large Area Mapping. The green circle symbols are position marks that can be moved around to adjust the number of fields showing on the right side of the wizard.
Figure 2. Setup Wizard for Montage Large Area Mapping. The green circle symbols are position marks that can be moved around to adjust the number of fields showing on the right side of the wizard.

 

Similar to standard EDS mapping, the user has the option to lock the Element List before the live acquisition or to let the software determine the element list automatically based on a preview spectrum. The preview spectrum is based on the first field in the montage, and the Element List can be modified as desired after the spectrum collection. In the Review Mode, the user can review the automatically stitched montage maps and each field. Full resolution data images can be exported via the Send to Folder function. Montage maps can be rebuilt to add or remove elements maps.

One of the basic requirements for such applications is ensuring proper alignment of edge features of individual images and maps with respect to neighbors. SEM image scan rotation and magnification reference are the major considerations for montage image alignment. The sample used for this alignment adjustment was a piece of Transmission Electron Microscope square grids. A montage of SEM images that consists of multiple square grids was collected in a 2 x 2 stage field pattern before and after each fine-tune for evaluating the alignment. By examining the squareness of the grids along the axes of the four quadrants, which are the edges between individual images of the montage, the offsets can be identified and used as a guideline for scan rotation and magnification reference adjustments.

If the beam axis is not precisely aligned to the stage movement in the X-axis, moving the stage along the X-axis causes a position change in the Y-axis as well. This can be easily visualized in the montage of square grids shown in Figures 3a and 3b. The scan rotation adjustment is necessary until the mismatch is eliminated (Figure 3c). The rotation offset between stage and beam should typically be adjusted by a qualified service person, but most SEM software also includes a user-controlled scan rotation that can be applied. Once scan rotation is adjusted, the magnification reference width and height values need to be tuned in APEX 2.0 or the scan generator software, so the stage moves exactly one field in X and Y directions. This procedure may be started from the direction that requires larger adjustment. The length of each side of the grids along the axes should be measured on the screen to help identify and fix minor offsets. However, note that the SEM image width and stage movement may not be fully calibrated and that the offset can be magnification dependent. If the stage stops short or moves too far, the reference value is set too small or large, respectively. Figures 3d-3f illustrate such an adjustment. For EDS mapping, the scale bar on the SEM is not necessarily calibrated along with the stage. This magnification reference adjustment on the EDS side compensates for the X/Y scaling. For large area imaging on the SEM side only, the scale bar calibration is still required. The scan rotation and magnification reference adjustments are interactive and may be repeated multiple times until an optimal montage alignment is achieved.

Montage image alignment. The scan rotation angles in a, b, and c are 3º, 1º, and 1.6º, respectively. 1.6º represents a good scan rotation calibration without a mismatch in the figure. d) The stage movement is too far in the Y direction since the grids along the horizontal axis are heavily shrunk in the Y direction. e) After decreasing the reference height value, the stage moves exactly one field in the Y direction. The stage still moves a little far in the X direction as the horizontal side of the grids along the vertical axis is measured slightly shorter than the vertical side. f) Magnification reference adjustment is done after marginally decreasing the reference width value.
Figure 3. Montage image alignment. The scan rotation angles in a, b, and c are 3º, 1º, and 1.6º, respectively. 1.6º represents a good scan rotation calibration without a mismatch in the figure. d) The stage movement is too far in the Y direction since the grids along the horizontal axis are heavily shrunk in the Y direction. e) After decreasing the reference height value, the stage moves exactly one field in the Y direction. The stage still moves a little far in the X direction as the horizontal side of the grids along the vertical axis is measured slightly shorter than the vertical side. f) Magnification reference adjustment is done after marginally decreasing the reference width value.

 

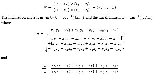
While it is possible to adjust the focus with Working Distance or Z stage movement, it is recommended to keep a constant working distance throughout the entire imaging/analyzing area to reduce errors. For this consideration, the sample should be polished flat and mounted parallel to the stage motion. Furthermore, the X-Y motion of the sample/stage should be perpendicular to the beam axis and the tilt, a vector perpendicular to the surface of the sample, needs to be evaluated. In this example, three positions at the edge of the stage of a field emission SEM were chosen and the stage coordinates (x,y,z) P0 = (-31.5413, 17.5088, 60.4446), P1 = (2.7049, -36.4853, 60.4993), and P2 = (32.7951, 14.9375, 60.3005) (in mm) were recorded. The Z of each position was determined by using Z stage motion only to focus a spherical dirt particle with a diameter of approximately 500 nm on the stage at 20,000 X magnification. Following the method described by Ritchie et al [1], the tilt is

Equation 1.
Equation 1.

 

In this case, a maximum Z variation of 0.2 mm was observed, representing a minor stage inclination of 0.2º at an orientation of ϕ = 46.9º. Note that if a flat sample is not mounted parallel to the stage, a rotation and tilt can be used to achieve a surface perpendicular to the beam.

Conclusion

These examples demonstrate the powerful large area mapping capability possible with the APEX 2.0 Montage Large Area Mapping option, as well as alignment considerations to acquire seamless montages. The different types of phenocrysts in the Hornblende Basalt Porphyry section are highly variable in grain size and spatial distribution, with some conspicuous grains almost covering the entire single field of view, even at the lowest magnification. For this kind of application, a representative area can be mapped by using the Montage Large Area Mapping option to achieve a more accurate calculation of the bulk composition.

Reference

[1] N.W.M. Ritchie et al., Forensic Chemistry 20 (2020) 100252